Шпоры
| Таблицы и графики |
| Таблица потерь напора в трубопроводах |
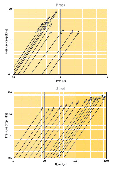
| График подбора диаметра труб по расходу |
| График подбора сепараторов шлама Spirovent Dirt |
| Размеры труб |
| Энергоэффективность |
| Виды регулирования энергоэффективного насоса Wilo Stratos |
| Программы подбора оборудования |
| Онлайн программа подбора насосов Wilo Seleсt 4 |
| Онлайн программа подбора насосов Grundfos |
| Подбор мембранных баков |
| Онлайн-конвертеры единиц измерения |
| Преимущества товаров |
| Счётчики крыльчатые для холодной и горячей воды NOVATOR |
| Он-лайн каталоги |
| Он-лайн каталог насосов Wilo |




